• +903123340002
  • info@biogentohum.com
LanguageLang:Turkce Turkce
  • TurkceTurkce
  • IngilizceIngilizce
  • العربيةالعربية
  • AlmancaAlmanca
Biogen Tohumculuk
  • ANA SAYFA
  • KURUMSAL
    • Hakkımızda
  • ÜRÜNLERİMİZ
  • AMBALAJLARIMIZ
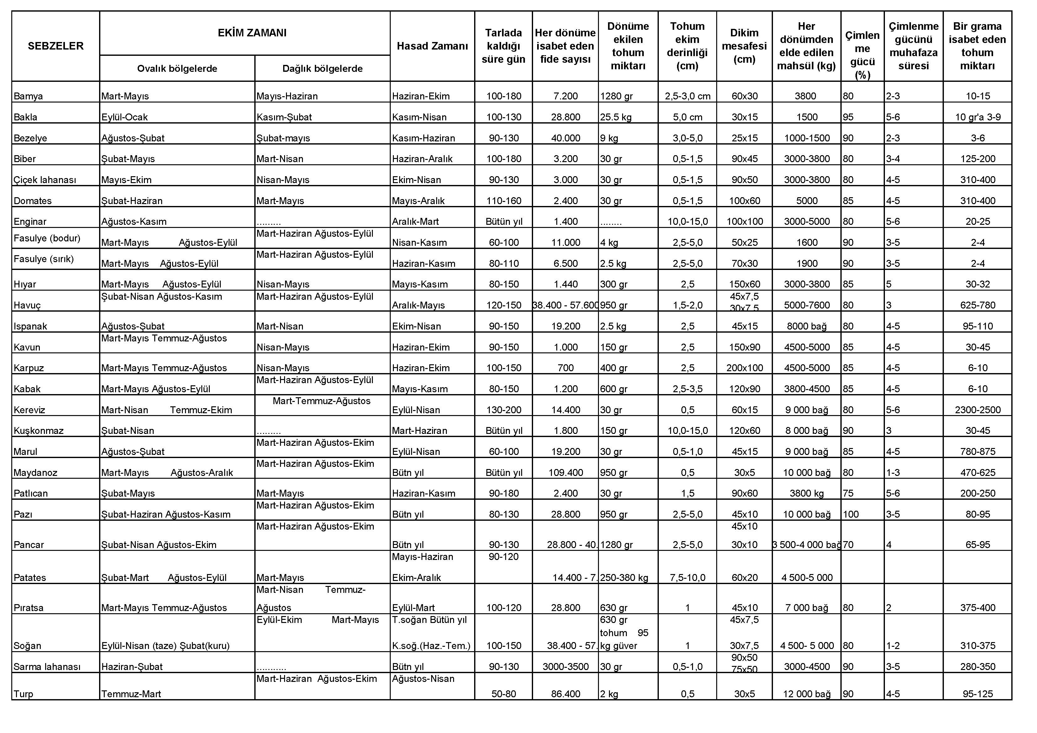
  • EKİM DİKİM CETVELİ
  • BAYİLERİMİZ
  • GALERİ
  • İLETİŞİM
    • İletişim Bilgileri
    • İnsan Kaynakları
    • Harita / Maps
KAPAT× +903123340002
KAPAT×
  • Ana Sayfa
  • Resim Galerisi

Resim Galerisi

 Tümünü Görüntüle  AMBALAJLARIMIZ  EKİM DİKİM CETVELİ  GRUP AMBALAJLARIMIZ  25 KG KRAFT AMBALAJLARIMIZ  10 KG KRAFT AMBALAJLARIMIZ  2000 GR AMBALAJLARIMIZ  1000 GR AMBALAJLARIMIZ  500 GR AMERİKAN BRİKSTOL KUTU AMBALAJLARIMIZ  500 GR TENEKE AMBALAJLARIMIZ  250 GR AMBALAJLARIMIZ  100 GR AMBALAJLARIMIZ  10 GR - 25 GR AMBALAJLARIMIZ
  • |
  •   
  • 1
  • 2
  • 3
  • 4
  • 5
  • 6
  • |
Toplam Resim 49

Sosyal Medya

Sosyal Medya Sayfalarımız

E-Bülten

Gelişmelerden haberdar olmak için e-bültene kayıt olabilirsiniz.

Kurumsal

  • Hakkımızda

Sayfalar

  • ANA SAYFA
  • KURUMSAL
  • ÜRÜNLERİMİZ
  • AMBALAJLARIMIZ
  • EKİM DİKİM CETVELİ
  • BAYİLERİMİZ
  • GALERİ
  • İLETİŞİM
Copyright © 2017 Biogen Tohumculuk
Telefon: +903123340002
info@biogentohum.com
Macun Mahallesi Batı Bulvarı Öz Ankara Toptancılar Sitesi 2.Blok No:51
Yenimahalle-ANKARA